Skip to content

Materiales de energía

CAMECA apoya la innovación en el campo de energía verde e iluminación LED: entre otras líneas de producto, SIMS y APT se usan para ayudar a optimizar las abruptas transiciones de la interfaz entre las distintas capas de composición en dispositivos de PV y LED, monitorear la distribución a profundidad de adulterantes, controlar la contaminación no deseada que afectaría las propiedades eléctricas de los compuestos.
  • Dopant monitoring in LEDs with SIMS
    Monitoreo de adulterantes en dispositivos LED (SIMS)

    Los instrumentos de SIMS de CAMECA son extremadamente útiles en la investigación de la composición y caracterización de la distribución elemental de adulterantes e impurezas en distintas capas, lo que los hace la mejor elección para la investigación y desarrollo y el control de proceso de dispositivos LED novedosos.

    Seguir leyendo
  • Purity control in PV Si feedstock
    Control de pureza en carga de alimentación PV Si (SIMS)

    El IMS 7f-Auto es la herramienta de elección para el control de la calidad del proceso de purificación de Si que es obligatorio para garantizar la fabricación de alto rendimiento de dispositivos de celdas solares basadas en Si.

    Seguir leyendo
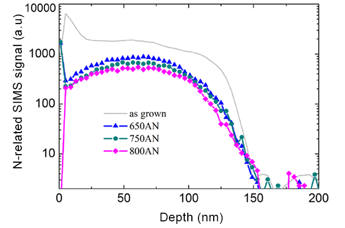
  • SIMS depth profiling of Nitrogen doping in Cu2O
    Materiales para energía y catálisis (SIMS)

    Los perfiles de profundidad de concentración de nitrógeno de SIMS en películas de óxido cuproso (Cu2O) dopadas con plasma de nitrógeno ayudan a mejorar la conductividad de este material utilizado para la conversión de energía solar de bajo costo y la fotocatálisis.

    Seguir leyendo
  • CIGS thin film solar cells
    Celdas solares de película delgada CIGS (SIMS)

    Los instrumentos SIMS dinámicos son los más adecuados para caracterizar la distribución en profundidad elemental (especies de matriz y metales alcalinos, Na y K) en varias películas delgadas de CIGS

    Seguir leyendo