Skip to content

Materiales para energía y catálisis (SIMS)

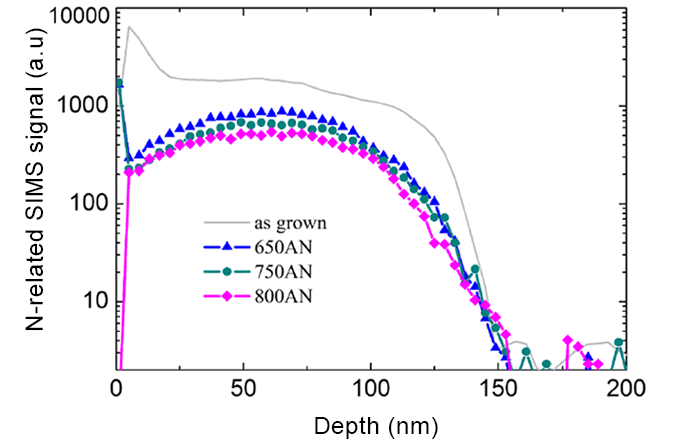
SIMS depth profiling of Nitrogen doping in Cu2O

El óxido cuproso (Cu2O), un semiconductor de tipo p, ha sido considerado un material prometedor para la conversión de energía solar de bajo costo y la fotocatálisis. El dopaje con nitrógeno en Cu2O es un tema de investigación importante debido a su tremendo potencial para superar la desventaja principal de Cu2O: su alta resistencia. Sin embargo, todavía existe cierta controversia con respecto a los efectos del dopaje con nitrógeno en Cu2O, y aún no se ha alcanzado un entendimiento completo.

Este estudio reporta un estudio comparativo del dopaje con nitrógeno en Cu2O. Los perfiles de profundidad de concentración de nitrógeno de SIMS de las películas de Cu2O:N dopadas con plasma de nitrógeno muestran: (i) incorporación de nitrógeno en las películas, (ii) su difusión gradual durante el recocido. Los resultados sugieren que para mejorar la conductividad de Cu2O:N, se necesita aumentar el nivel de dopaje y/u optimizar el proceso de recocido para equilibrar los procesos de activación y difusión al exterior.

El instrumento IMS 7f-Auto proporciona una distribución en profundidad de los elementos traza (incluidos los elementos de luz) con excelente sensibilidad y alta resolución de profundidad, al tiempo que mantiene un alto rendimiento de análisis. Este instrumento se usa habitualmente para estudiar los procesos de difusión y segregación que son críticos para el desarrollo de nuevos dispositivos semiconductores.

Datos recopilados sobre el IMS 7f en Univ. Oslo (Noruega). De J. Li et al. NATURE Scientific Reports 4, 7240 (2014).